• Предмет: Алгебра
  • Автор: CDAMEGE
  • Вопрос задан 3 года назад

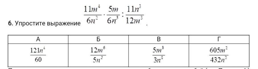
Упростить выражение.

Приложения:

m11m: Ответ: в)

Ответы

Ответ дал: ArinaZhanova25
1

Ответ:

В

Объяснение:

Решение смотри во вложении))

Приложения:
Вас заинтересует