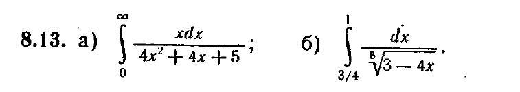
Вычислить несобственные интегралы или доказать их расходимость.
Желательно расписать по действиям.
Приложения:

Ответы
Ответ дал:
1
Ответ:
Пошаговое объяснение: решение в файле
Приложения:




Вас заинтересует
2 года назад
2 года назад
2 года назад
7 лет назад
7 лет назад
9 лет назад