• Предмет: Математика
  • Автор: Sssscn5766
  • Вопрос задан 3 года назад

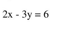
найдите одно решение уравнения​

Приложения:

ВикаБач: (3;0)

Ответы

Ответ дал: vityamath
0

Ответ:

Пошаговое объяснение:

2x-3y=6

Рассмотрим, если x=9

2*9-3y=6

18-3y=6

-3y=-12

y=4

(9;4)

Ответ дал: Аноним
0

выразим одну переменную через другую. например, х через у

х=(6+3у)/2

Придавая значения у, получаем значения х.

Пусть у=0, тогда х=6/2=3

(3;0)

Ответ (3;0)

Вас заинтересует