• Предмет: Алгебра
  • Автор: xxxtentacionn812
  • Вопрос задан 3 года назад

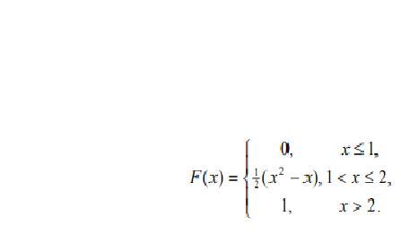
Случайная величина X задана функцией распределения F(x). Найти плотность
распределения вероятностей, математическое ожидание и дисперсию случайной величины.

Приложения:

Ответы

Ответ дал: Аноним
0

плотность распределения - это производная функции распределения. она равна 0 при х≤1, х>0; и равна

x-1/2 при   1<x≤2

Чтобы найти мат. ожидание. надо найти определенный интеграл от

х*f(dx)  от 1 до двух. этот интеграл равен (х³/3-х²/4) от 1 до двух. По формуле Ньютона - Лейбница получаем  8/3-1-(1/3-1/4)=4/3-1/4=13/12

Квадрат мат. ожидания равен 169/144

а дисперсия есть определенный интеграл от 1 до двух от функции х²*f(dx) -М²(х)

интеграл равен х⁴/4-х³/6, подставляем пределы, получаем

4-4/3-(1/4-1/6)=8/3-1/12=31/12, отнимем теперь квадрат мат. ожидания от этой величины и получим дисперсию.

31/12-169/144=(31*12-169)/144=(372-169)/144=203/144=1 59/144

Вас заинтересует