Ответы
Ответ дал:
2
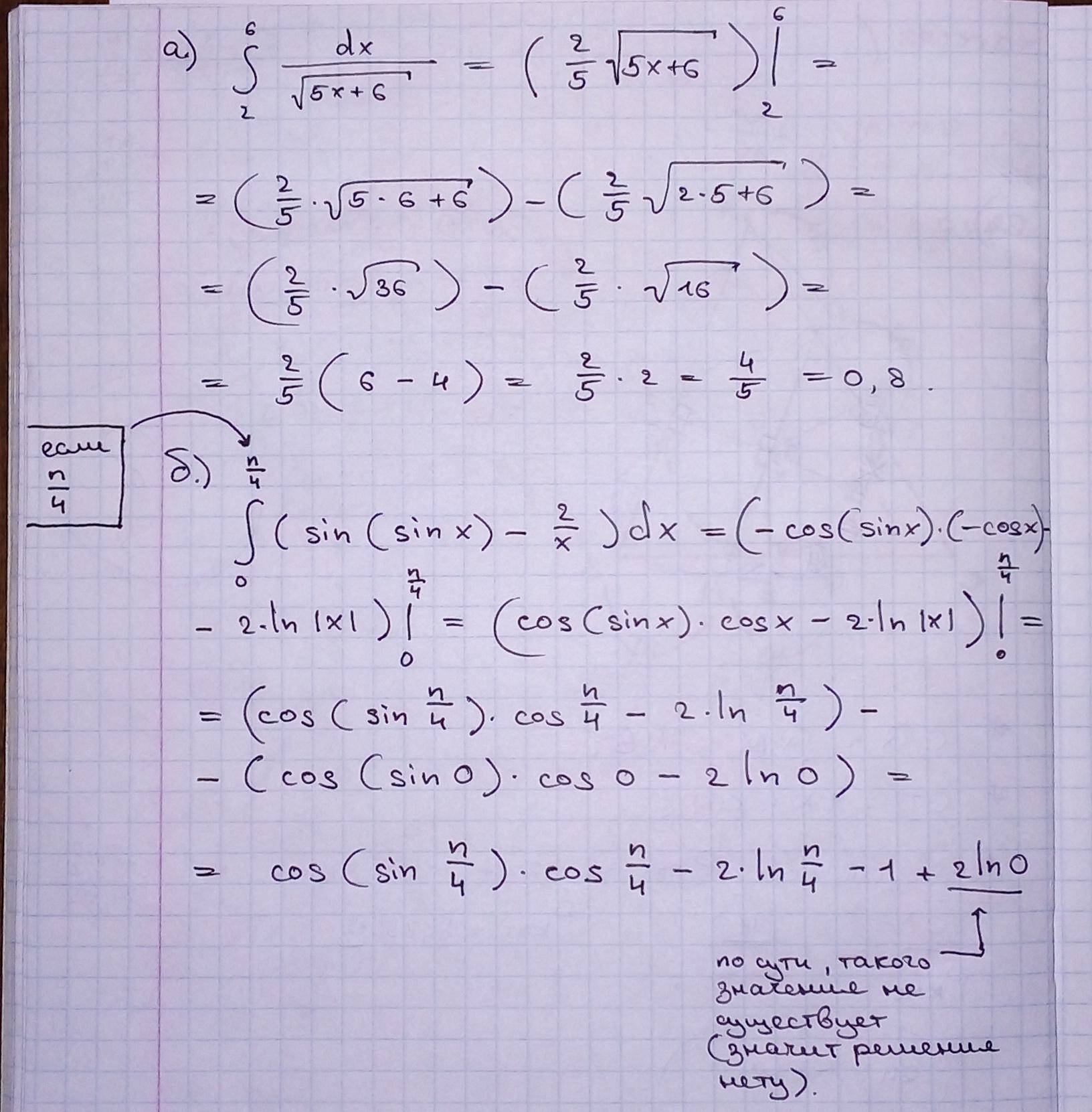
На счёт второго примера я не уверен (по сути, решения нет). Но Вы тоже пересмотрите условие, может не так записали? Или это уже моя ошибка... :
Приложения:

alinasytnikova2004:
Я все правильно записала
Ответ дал:
2
Ответ:
Так как под знаком интеграла присутствует дробь, в знаменателе которой содержится х, то тогда х≠0. Предел же интегрирования содержит число 0. Интеграл не является определённым.
Вас заинтересует
2 года назад
2 года назад
7 лет назад
7 лет назад
9 лет назад