Ответы
Ответ дал:
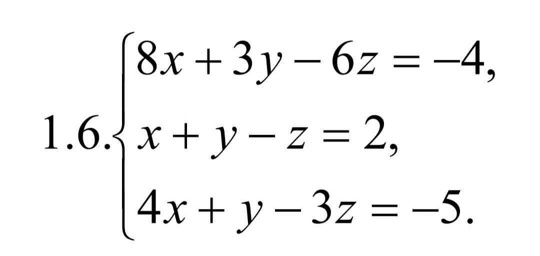
1
Ответ:
Надеюсь мой почерк будет понятен
Пошаговое объяснение:
Приложения:

Ответ дал:
0
Решение задания приложено
Приложения:

Вас заинтересует
2 года назад
2 года назад
7 лет назад
7 лет назад
9 лет назад