Ответы
Ответ дал:
0
.........................
Приложения:

Evgenia4836:
1 неверно
Ответ дал:
2
Ответ:
Объяснение:
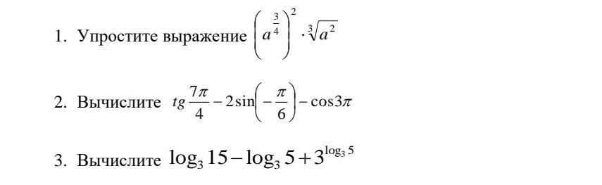
1) a^3/2 * a^2/3= a^13/6
2) -1-2*(-1/2)-(-1)= -1+1+1= 1
3) log3(15/5)+5= log3(3)+5= 1+5= 6
Вас заинтересует
2 года назад
2 года назад
2 года назад
2 года назад
7 лет назад
7 лет назад
9 лет назад