• Предмет: Химия
  • Автор: dima23ilushkin
  • Вопрос задан 3 года назад

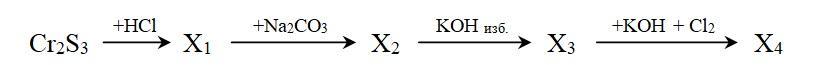
Составьте уравнения реакций, соответствующие следующей цепочке превращений соединений хрома, протекающих в водных растворах:


В ответ выпишите простейшие формулы X1–X4 через запятую (например: O2, N2).

Приложения:

Ответы

Ответ дал: vladislava19991211
2

Ответ:

CrCl3, Cr(OH)3, K3[Cr(OH)6], K2CrO4

Вас заинтересует