• Предмет: Алгебра
  • Автор: МагияМандаринки
  • Вопрос задан 3 года назад

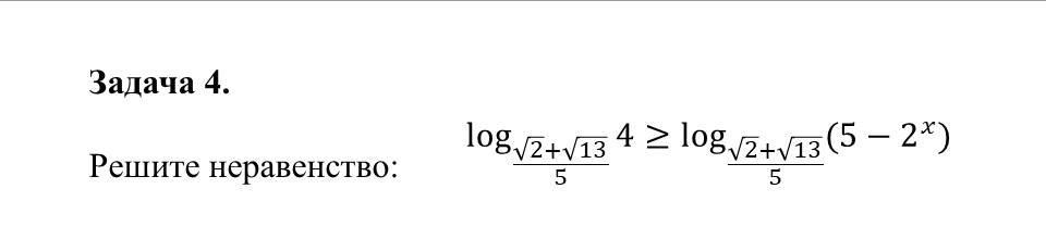
Решите 3 уравнения. Пожалуйста распишите их на листочке и приложите фото!!

Приложения:

Ответы

Ответ дал: m11m
1

Ответ:

Объяснение:

!!!!!!!!!!!!!!!!!!!!

Приложения:

МагияМандаринки: Спасибо огромное! Это очень крутое решение! ❤
Вас заинтересует