Ответы
Ответ дал:
0
насколько мне позволяет знание этого языка, вам надо разложить на множители данный многочлен.
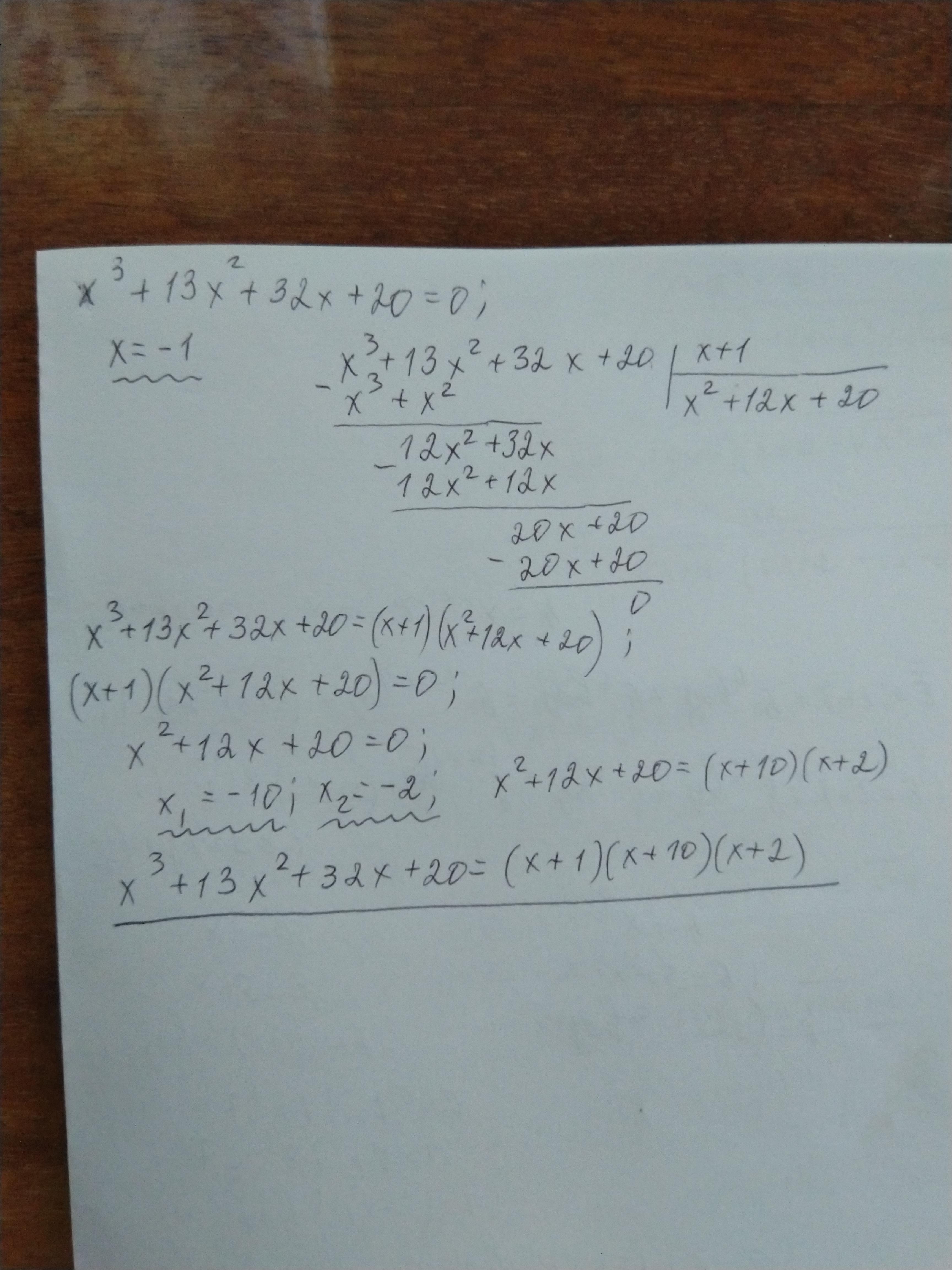
x³+13x²+32x+20
Проверкой легко убедиться, что корнями являются числа -1;-2;-10, т.к. корни ищем путем перебора делителей свободного члена, т.е. среди чисел ±1;±2;±4;±5;±10;±20.
Действительно, (-1)³+13*(-1)²+32*(-1)+20=0
(-2)³+13*(-2)²+32*(-2)+20=0
(-10)³+13*(-10)²+32*(-10)+20=0
Значит, x³+13x²+32x+20=(х+1)(х+2)(х+10)
Ответ дал:
0
............................
.
Приложения:

Вас заинтересует
2 года назад
2 года назад
7 лет назад
7 лет назад
9 лет назад