• Предмет: Математика
  • Автор: KKiryaaaaaaaa
  • Вопрос задан 3 года назад

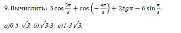
Помогите пожалуйста с ответами и помочь решить уравнения и неравенства.

Приложения:

Ответы

Ответ дал: tashahorbatko
0

Ответ:2В 3 А

Пошаговое объяснение:

Вас заинтересует