Ответы
Ответ дал:
1
Ответ:
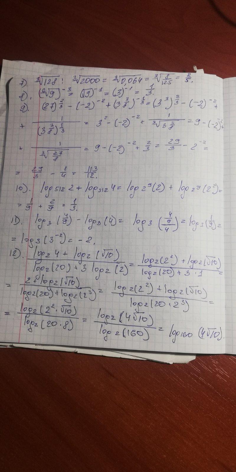
Пошаговое объяснение: номер 3 не видно)
Приложения:


Ответ дал:
1
Ответ:
..............................
Приложения:

Вас заинтересует
2 года назад
2 года назад
2 года назад
7 лет назад
7 лет назад
9 лет назад