Ответы
Ответ дал:
1
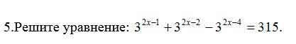
Если что-то не понятно или не видно, спрашивай)
Приложения:

Вас заинтересует
2 года назад
2 года назад
2 года назад
2 года назад
7 лет назад
7 лет назад
9 лет назад