• Предмет: Математика
  • Автор: temirlantolegen01
  • Вопрос задан 3 года назад

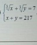
Решите систему уравнений ​

Приложения:

Ответы

Ответ дал: alina8maler
0

Ответ:

x=216

y=1

Проверка:

{³√216+³√1=6+1=7

{216+1=217

Вас заинтересует