• Предмет: Математика
  • Автор: NikoRud
  • Вопрос задан 3 года назад

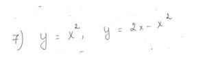
"вычислите (предварительно сделав рисунок) площадь фигуры ограниченной линиями"
помогите и с пояснением, если можно, а то не понимаю..

Приложения:

Ответы

Ответ дал: Аноним
1

Ответ:

Имеем 2 параболы, надо найти 2 интеграла, взять по модулю больший и из него вычесть по модулю меньший

Пошаговое объяснение:

x²=2x-x²

2x²=2x

x = 0, x=1

Вот в этих пределах и будем искать эти интегралы

Щаз нарисую график, только не торопите

Нарисовал то что надо между красной и синей линиями, оттуда будем прыгать

Приложения:

NikoRud: хорошо
Аноним: Я там ещё файло в Ворде добавил, думаю, что Ворд у вас есть
Ответ дал: m11m
0

Ответ:

Пошаговое объяснение:

!!!!!!!!!!!!!!!!!!!!!!

Приложения:
Вас заинтересует