• Предмет: Математика
  • Автор: Аноним
  • Вопрос задан 3 года назад

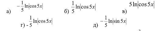
1) Найти первообразную y=(sin(5x))/(cos(5x))
2) Найти общий вид первообразных функции y=1/3x-4

Приложения:

Аноним: ждёмс помощи

Ответы

Ответ дал: table123
1

Ответ:

Пошаговое объяснение:

1)  y=tg(5x),   Y=-1/5*ln|cos5x| +c

2) Y=1/3*x^2/ 2 - 4x +c=x^2/ 6 -4x +c

Ответ дал: NNNLLL54
0

1)\ \ \int \dfrac{sin5x}{cos5x}\, dx=-\dfrac{1}{5}\int \dfrac{d(cos5x)}{sin5x}=-\dfrac{1}{5}\cdot ln|cos5x|+C\\\\\\2)\ \ y=\dfrac{1}{3}x-4\ \ ,\ \ F(x)=\int \Big(\dfrac{1}{3}\, x-4\Big)\, dx=\dfrac{1}{3}\cdot \dfrac{x^2}{2}-4x+C\\\\\\\star \ \ y=\dfrac{1}{3x-4}\ \ ,\ \ F(x)=\int \dfrac{dx}{3x-4}=\dfrac{1}{3}\, ln|3x-4|+C\ \ \star

Вас заинтересует