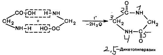
1,5-Дикетопиперазин образует аминокислота:
а) 3-амино-3-меркаптобутановая кислота;
б) 4-аминопентановая кислота;
в) 2-аминоэтановая кислота;
г) 4-аминогексановая кислота.
Напишите эту реакцию.!!!!!!!!!!!
Ответы
Ответ дал:
1
Ответ:
Здесь должно быть опечатка. С локантами 1,5 вы не получите вышеуказанное вещество ни из одной аминокислоты. Согласно номенклатуре, нумерация начинается с атома азота, у которого априори не может стоять кетогруппа. По реакции межмолекулярной дегидратации это просто невозможно. Таким образом можно лишь получить дикетопиперазин с положениями 2,5. Ответ будет в)
Приложения:

Вас заинтересует
7 лет назад
9 лет назад