• Предмет: Алгебра
  • Автор: djdfyrhenjq
  • Вопрос задан 3 года назад

нужно решить поможыте

Приложения:

Ответы

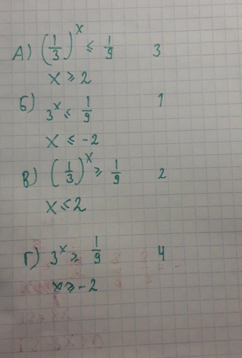
Ответ дал: Аноним
0

А 3

Б 1

В 2

Г 4

вот так вот на фотке

Приложения:

olgaraschupkina02: зачем ты знаки в А и В поменял? не нужно этого делать
Аноним: сами посмотрите в 1 например: если х=3, то дробь 1/9>1/27
Аноним: а если два то: 1/9=1/9
Вас заинтересует