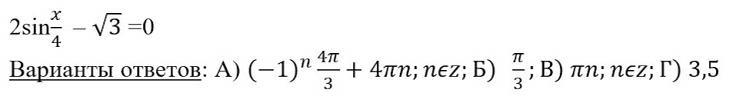
Решите тригонометрическое уравнение
1) Вариант А
2) Вариант Б
3) Вариант В
4) Вариант Г
Приложения:

Ответы
Ответ дал:
1
Ответ:
1) Вариант А
Пошаговое объяснение:
Вас заинтересует
2 года назад
2 года назад
2 года назад
7 лет назад
9 лет назад