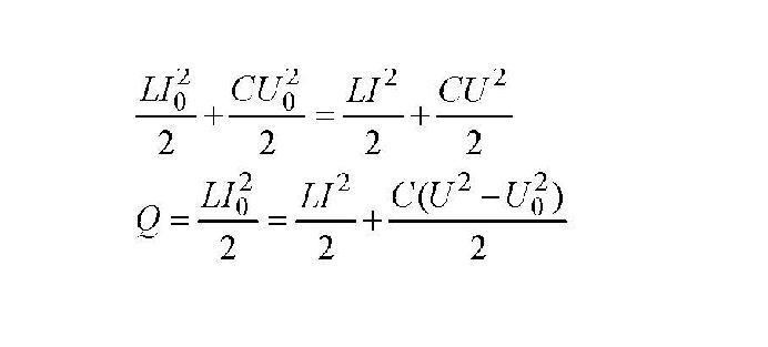
Конденсатор емкостью 0,2 мкФ, зарядили до напряжения 100 В и соединили с катушкой индуктивности L=1 мГн. В результате разрядки конденсатора напряжение на нем стало равным 40 В, а сила тока в катушке 0,2 А. Чему равно количество теплоты, выделившееся в катушке?
Ответы
Ответ дал:
0
^ - степень
Дано :
С = 0,2 мкФ = 2 · 10^(-7) Ф
Uo = 100 В
L = 1 мГн = 10^(-3) Гн
U = 40 В
I = 0,2 А
Q - ?
Решение :
По з.сохранения энергии ( фото во вложении)
Приложения:

katyakurtaaa:
спасибо. я так и решала, но в ответе получается отрицательное значение
Вас заинтересует
2 года назад
2 года назад
2 года назад
7 лет назад
7 лет назад
9 лет назад