Ответы
Ответ дал:
1
9.
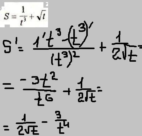
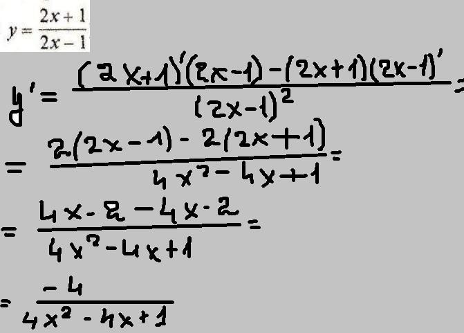
остальное на фото
Приложения:


lakOR555:
++
Вас заинтересует
2 года назад
2 года назад
2 года назад
2 года назад
7 лет назад
7 лет назад
9 лет назад