• Предмет: Математика
  • Автор: lliliahjj
  • Вопрос задан 3 года назад

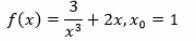
Составьте уравнение касательной к графику функции f(x) в точке x0,если

Приложения:

Ответы

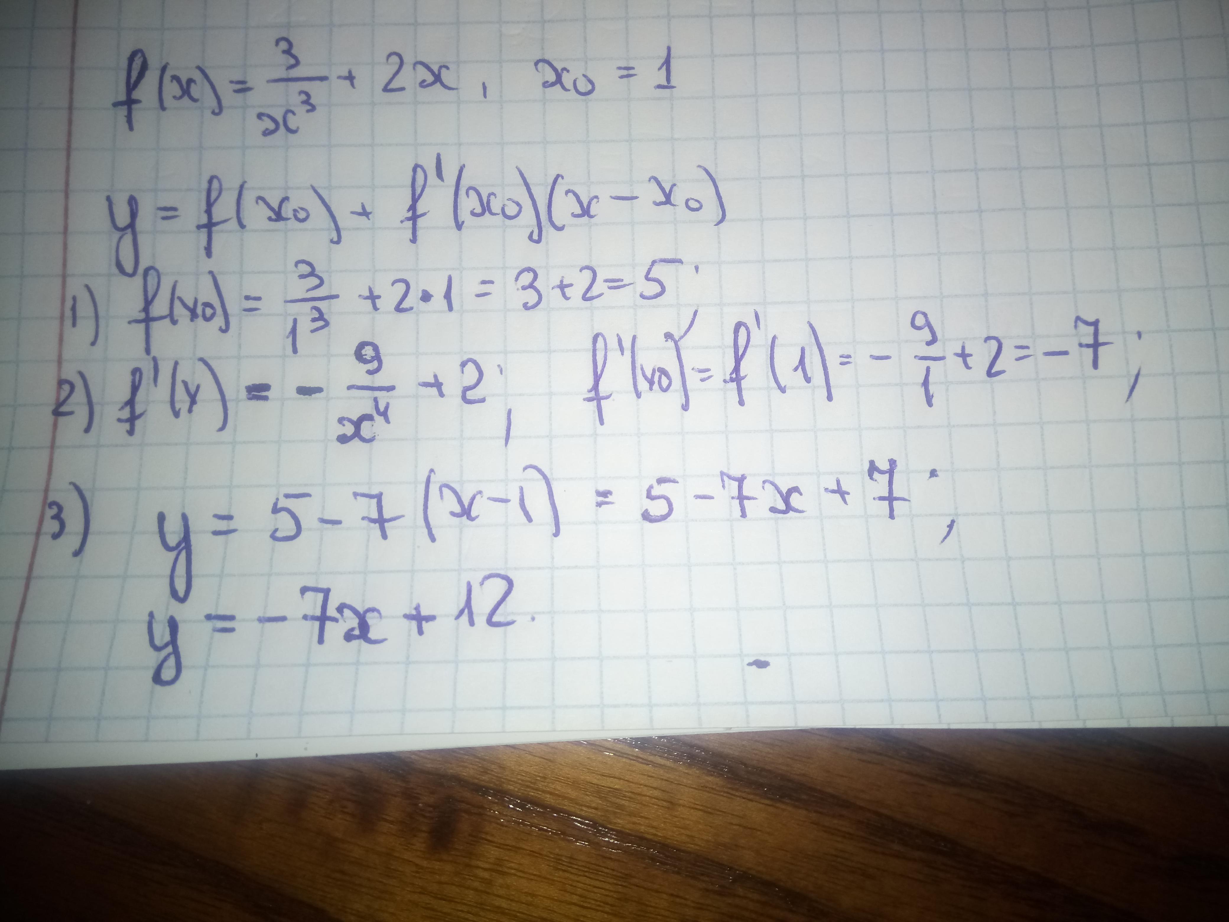
Ответ дал: Аноним
2

Решение задания приложено

Приложения:
Вас заинтересует