Pascal
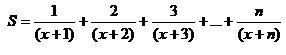
Дано вещественное число X и целое число N (> 0). Найти значение выражения
(n слагаемых)
                        
                                    Приложения:
                    
                            Ответы
                                            Ответ дал: 
                                                                                    
                                        
                                            
                                                
                                                
                                                
                                                    1
                                                
                                            
                                        
                                    Ответ:
program prog77;
var
x : real;
n: integer;
s: real;
i: integer;
begin
write ('x = ?');
readln(x);
write ('n = ?');
readln(n);
s := 0;
for i := 1 to n do
begin
s := s + i/(x+i);
end;
write ('S = ', s);
end.
Объяснение:
                                            Ответ дал: 
                                                                                    
                                        
                                            
                                                
                                                
                                                
                                                    0
                                                
                                            
                                        
                                    // PascalABC.NET
begin
var x := ReadReal('x =');
var n := ReadInteger('n =');
SeqGen(n, p -> p / (x + p), 1).Sum.Print
end.
Вас заинтересует
                
                        2 года назад
                    
                
                        2 года назад
                    
                
                        7 лет назад
                    
                
                        9 лет назад