• Предмет: Алгебра
  • Автор: nastaslinkina52414
  • Вопрос задан 3 года назад

Срочно!!!!! Пожалуйста ​

Приложения:

Ответы

Ответ дал: sharofat0
1

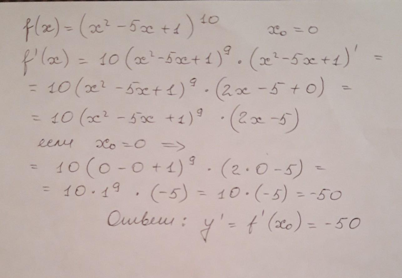
Ответ:

-50.

Вычислить значение производной.

Приложения:
Вас заинтересует