• Предмет: Математика
  • Автор: Nasa766
  • Вопрос задан 3 года назад

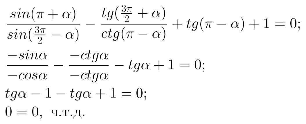
Решить тождество:

Даю 40 баллов.

Приложения:

Ответы

Ответ дал: Kierra
2

Решается с помощью формул приведения...

Приложения:
Вас заинтересует