• Предмет: Алгебра
  • Автор: wladimirsaitgariew
  • Вопрос задан 3 года назад

Помогите с примером пожалуйста

Приложения:

Ответы

Ответ дал: onetfriend
0

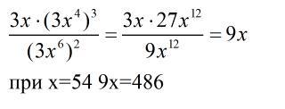
Ответ:

486

Объяснение:

Приложения:

sonata85ua: ошибки, 3 к степени не поднесли
onetfriend: да :)
Ответ дал: sonata85ua
1

Ответ:

486

Объяснение:

3х · 27 x^{12} : 9x^{12} = 9x

9*54=486


onetfriend: Ошиблась. поправила :)
sonata85ua: Ок)
Вас заинтересует