• Предмет: Алгебра
  • Автор: Аноним
  • Вопрос задан 3 года назад

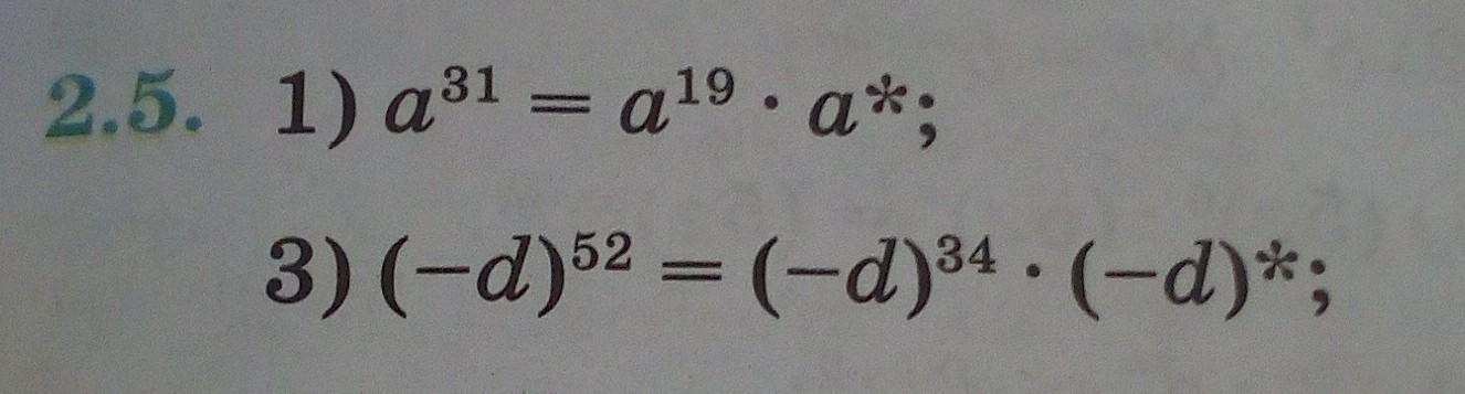
Решить задачку, Вот на фото) )2.5​

Приложения:

Ответы

Ответ дал: lakOR555
1

1) 31-19=12

а³¹=а¹⁹*а¹²

3) 52-34=18

(-d)⁵²=(-d)³⁴*(-d)¹⁸


Аноним: Спасибо!
lakOR555: пожалуйста)
Вас заинтересует