Информатика 1 курс (АКР)
Приложения:

timkafey:
смогу сделать все кроме 3-го ничего? Делать?
Ответы
Ответ дал:
0
язык программирования python
1)
import math as m
x = int(input('Введите x: '))
y = (5 * x ** 3 + m.sqrt(x)) / (2 - 3 * m.sin(4 * x))
print('Ответ: ' + str(y))
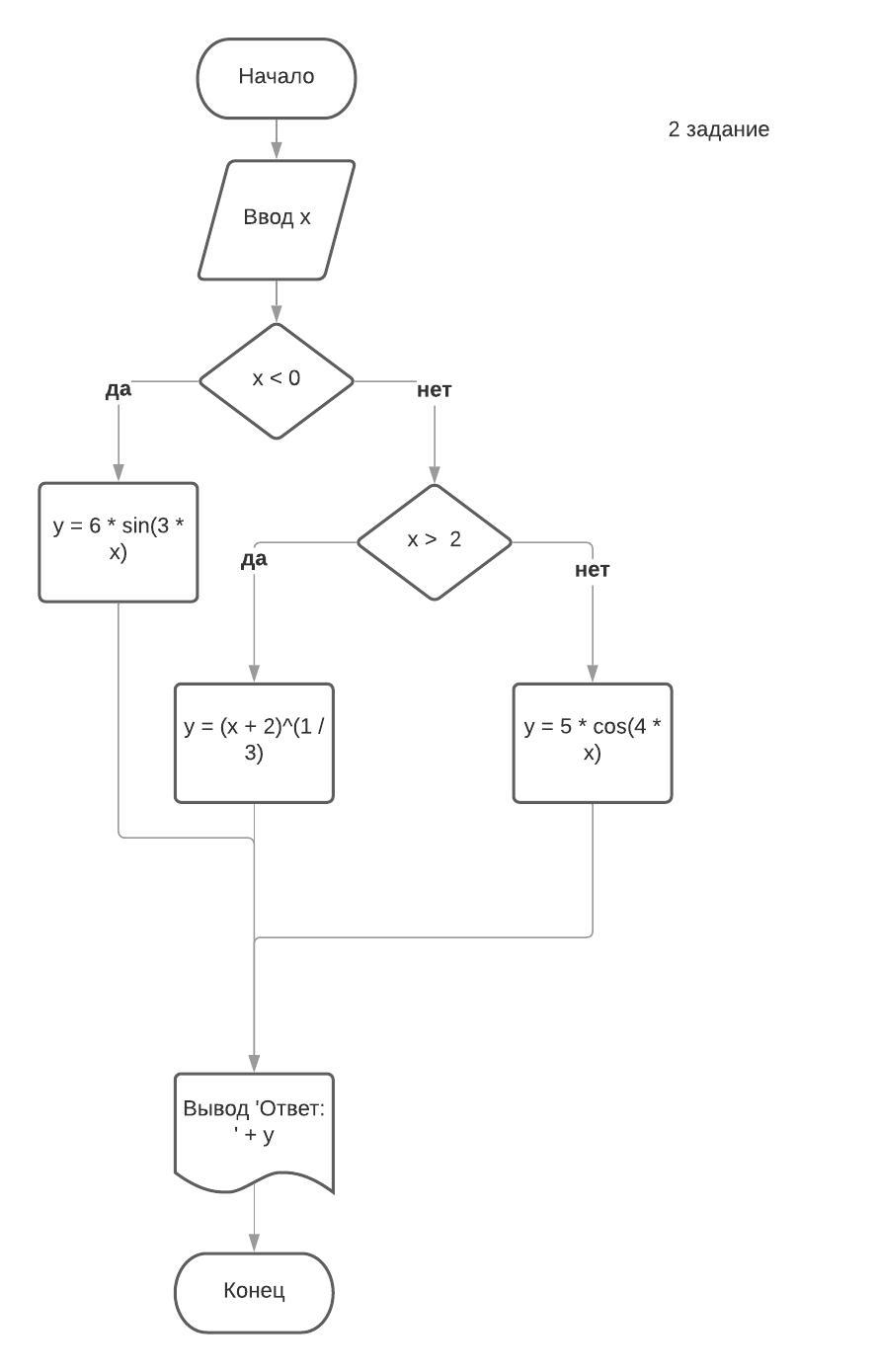
2)
import math as m
x = int(input('Введите x: '))
if x < 0:
y = 6 * m.sin(3 * x)
elif x > 2:
y = (x + 2)**(1 / 3)
else:
y = 5 * m.cos(4 * x)
print('Ответ: ' + str(y))
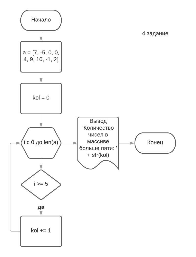
4)
a = [7, -5, 0, 0, 4, 9, 10, -1, 2]
kol = 0
for i in a:
if i >= 5: kol += 1
print('Количество чисел в массиве больше пяти: ' + str(kol))
Приложения:



Вас заинтересует
2 года назад
2 года назад
2 года назад
7 лет назад
7 лет назад
9 лет назад