• Предмет: Математика
  • Автор: kara163
  • Вопрос задан 3 года назад

Помогите решить 3 задания

Приложения:

Ответы

Ответ дал: nVikki
0

Ответ

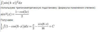
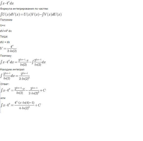
решение на фото

Пошаговое объяснение:

Приложения:
Вас заинтересует