• Предмет: Математика
  • Автор: kiemitak
  • Вопрос задан 3 года назад

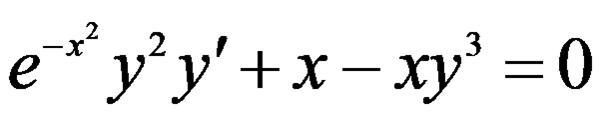
40 баллов!!!! найти ОБЩЕЕ РЕШЕНИЕ ДУ С РАЗДЕЛЯЮЩИМИСЯ ПЕРЕМЕННЫМИ

Приложения:

kiemitak: Чтобы получить 40б откройте другой такой же вопрос
kiemitak: этот случайно опубликовал, не поменяв кол-во баллов

Ответы

Ответ дал: farator4
1

Ответ:

1/3 ln |y^3 - 1| = 1/2*e^(x^2) + C

Пошаговое объяснение:

Для начала, надо разделить уравнение и привести его к виду:

y' = p(x) * h(y)

e^(-x^2) * y^2*y' = xy^3 - x;

y' = [x*e^(x^2)]*[(y^3 - 1) / y^2] - в угловых скобках я обозначил p и h.

Делим на h, умножаем на dx:

(y^2/(y^3-1)dy = x* e^(x^2) dx

Интегрируем, делаем замены:

1/3 S 1/(y^3-1) d(y^3-1) = 1/2 S e^(x^2) d(x^2)

1/3 ln | y^3 -1 | = 1/2 e^(x^2) + C


kiemitak: спасибо! я случайно поставила тут 5б, чтобы получить 40б перейди по ссылке и напиши там что-то https://znanija.com/task/37720990
farator4: в этом нет необходимости
Вас заинтересует