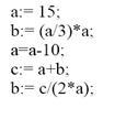
Определите значение переменной b после использования данного алгоритма:

Приложения:

Ответы

Ответ дал: Аноним
1

После использования алгоритма b равно 8.

Вас заинтересует