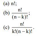
Указать формулы для 1) числа сочетаний, 2) числа размещений, 3)
числа перестановок: (поставьте напротив каждого названия соответствующую
ему формулу)
Приложения:

Ответы
Ответ дал:
1
Ответ:
1.c
2.b
3.a
Объяснение:
Вас заинтересует
2 года назад
2 года назад
2 года назад
7 лет назад
7 лет назад
9 лет назад