Ответы
Ответ дал:
1
Ответ:
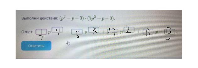
7p⁴-6p³+17p²+6p-9
Объяснение:
(p²-p+3)*(7p²+p-3)=7p⁴-6p³+17p²+6p-9
Ответ дал:
1
7р4-6р3+17р2+6р-9
вот так наверное
Приложения:

Вас заинтересует
2 года назад
2 года назад
2 года назад
7 лет назад
7 лет назад
9 лет назад