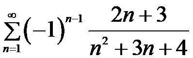
15Б. СРОЧНО!!!Исследовать сходимость знакочередующегося ряда и установить характер сходимости:
Приложения:

Ответы
Ответ дал:
2
Так как сам ряд является сходящимся, а модуль ряда расходится то исходный ряд сходится условно.
kiemitak:
ты мой спаситель, спасибо :*
Вас заинтересует
2 года назад
2 года назад
2 года назад
2 года назад
7 лет назад
9 лет назад