• Предмет: Математика
  • Автор: usamsonov14
  • Вопрос задан 3 года назад

Помогите пожалуйста. ​В конце заданий не 1.

Приложения:

Ответы

Ответ дал: afet74
1

Ответ:

Пошаговое объяснение:

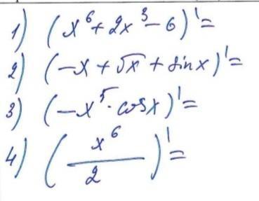
1)  (x⁶+2x³-6)' = 6x⁵+6x²

2) ( -x + \sqrt{x}   + sinx)'=  -1+\frac{1}{2\sqrt{x} } +cosx

3) (-x⁵·cosx)'=  - (x⁵·cosx)'= - [ (x⁵)'·cosx+x⁵·(cosx)'] =

= - [5x⁴ cosx - x⁵·sinx] = -5x⁴cosx+x⁵·sinx  

4)  (\frac{x^6}{2})'=\frac{6x^5}{2} = 3x^5            


usamsonov14: благодарю
afet74: ))
Вас заинтересует