• Предмет: Математика
  • Автор: PAIN1999
  • Вопрос задан 3 года назад

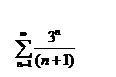
Исследуйте на сходимость ряд:

Приложения:

Аноним: используйте признак Даламбера

Ответы

Ответ дал: Vasily1975
1

Ответ: ряд расходится.

Пошаговое объяснение:

1) Составляем выражение для n+1 - го члена: a(n+1)=3^(n+1)/(n+2)=3*3^n/(n+2).

2) Составляем отношение n+1 - го члена к n - му: a(n+1)/a(n)=3*(n+1)/(n+2).

3) Находим предел этого отношения при n⇒∞: он равен 3>1, поэтому по признаку Даламбера ряд расходится.

Вообще говоря, здесь можно обойтись и без признака Даламбера. Так как при любом n 3^n>n+1, то a(n) при n⇒∞ не стремится к нулю, а это достаточный признак расходимости ряда.


PAIN1999: А почему в пункте 1 умножается 3 на 3, то есть как к этому пришли? И если можете объяснить, то скажите поподробней процесс 2 пункта, откуда числа по
PAIN1999: Допишу: появились
Вас заинтересует