Срочно! 100 баллов за минимум работы.
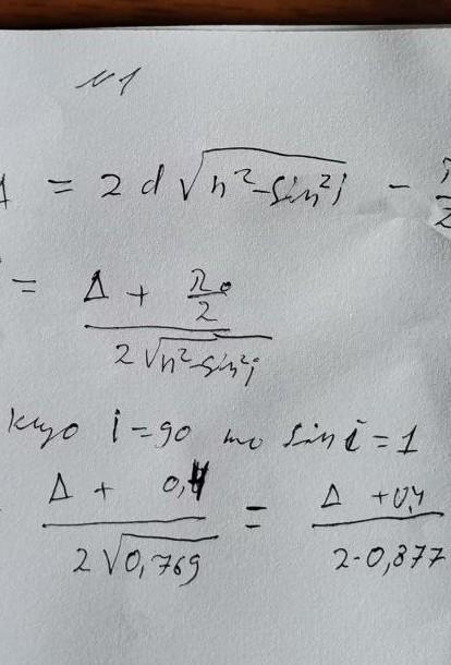
От двух когерентных источников лучи с длиной волны = 0,8 мкм попадают на экран, на котором наблюдается интерференционная картина. когда на пути одного из лучей перпендикулярно ему поместили мыльную пленку (n = 1,33), интерференционная картина изменилась на противоположную. при какой наименьшей толщине пленки d это возможно?
Требуется полное решение. Его обязательно отмечу лучшим ответом. Заранее большое спасибо
Ответы
Ответ дал:
1
Объяснение:
прикрепляю фото с решением
Приложения:

Вас заинтересует
2 года назад
2 года назад
7 лет назад