• Предмет: Математика
  • Автор: fotografiya33
  • Вопрос задан 3 года назад

помогите пожалуйста....​

Приложения:

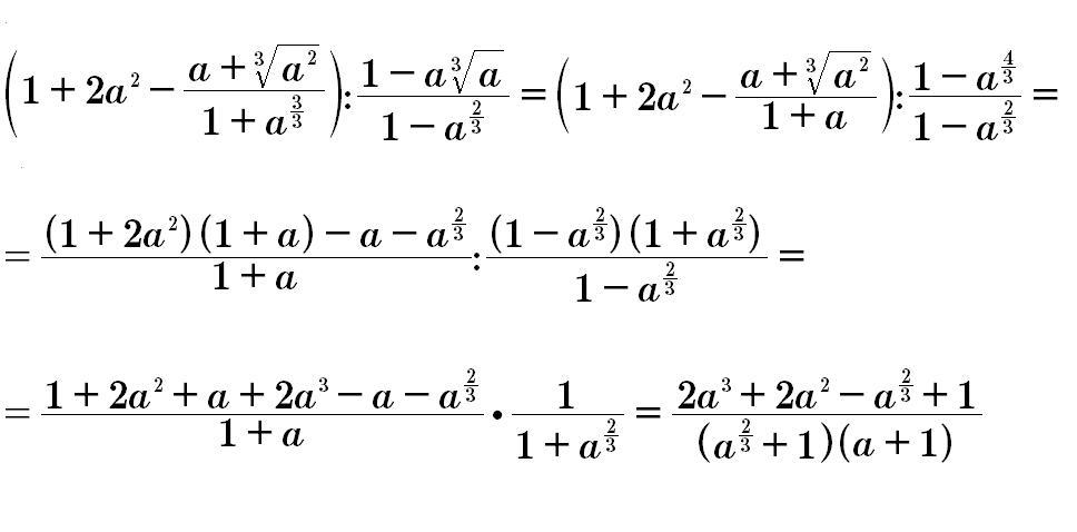
Ответы

Ответ дал: tamarabernukho
3

Ответ:

Пошаговое объяснение:

********************************

Приложения:
Вас заинтересует