• Предмет: Математика
  • Автор: fotografiya33
  • Вопрос задан 3 года назад

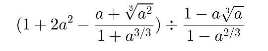
решите пожалуйста.....​

Приложения:

Ответы

Ответ дал: tamarabernukho
4

Ответ:

Пошаговое объяснение:

***************************

Приложения:
Вас заинтересует