• Предмет: Математика
  • Автор: андрейка41
  • Вопрос задан 3 года назад

Решите пожалуйста на листочке пожалуйста ​

Приложения:

Ответы

Ответ дал: NNNLLL54
0

Ответ:

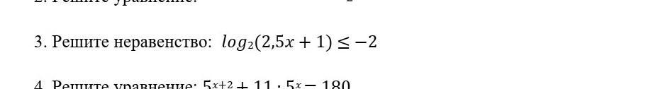
log_2(2,5x+1)\leq -2\ \ ,\ \ \ ODZ:\ \ 2,5x+1>0\ \ ,\ \ x>-0,4\\\\log_2(2,5x+1)\leq log_22^{-2}\ \ \ \Rightarrow \ \ \ (2,5x+1)\geq 0,25\ \ ,\\\\2,5x\geq -0,75\ \ ,\ \ x\geq -0,3\\\\Otvet:\ \ x\in [\, -0,3\, ;\, +\infty )\ .

Ответ дал: sangers1959
0

Пошаговое объяснение:

log_2(2,5x+1)\leq -2\\

ОДЗ: 2,5x+1>0     2,5x>-1 |÷2,5       x>-0,4  ⇒    x∈(-0,4;+∞).

log_2(2,5x+1)\leq log_22^{-2}\\log_2(2,5+1)\leq log_2(\frac{1}{4})\\ log_2(2,5x+1)\leq log_20,25\\2,5x+1\leq 0,25\\2,5x\leq -0,75|:2,5\\x\leq -0,3\\x\in(-0,4;-0,3].

Ответ: x∈(-0,4;-0,3).

Вас заинтересует