• Предмет: Алгебра
  • Автор: masha1493
  • Вопрос задан 3 года назад

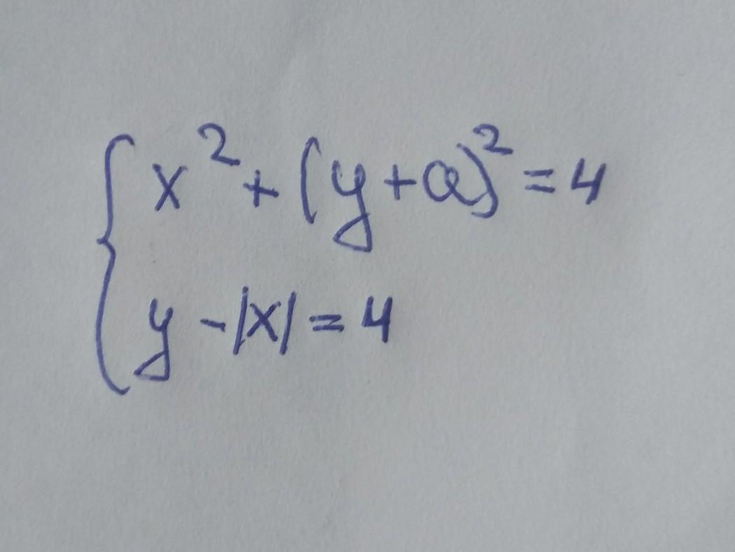
при каких значениях параметра а система уравнений имеет единственное решение​

Приложения:

Ответы

Ответ дал: lidiasaraa3
1

...............................

Приложения:
Вас заинтересует