• Предмет: Математика
  • Автор: edvardelricl1337
  • Вопрос задан 3 года назад

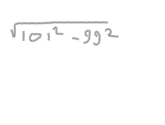
найдите значения выражения

Приложения:

timabutovo2009: Можешь понятнее писать пж??

Ответы

Ответ дал: Аноним
1

Ответ:

20

Пошаговое объяснение:

Здесь очень просто. Надо просто вспомнить формулу сокращенного умножение (разность квадратов).  В итоге делаем эти действия.

\sqrt{(101-99)(101+99)}.

Отнимаем и складываем числа в скобках.

\sqrt{2*200}=\sqrt{400}

Корень из 400. Это 20.

Вот всё решение с объяснениями


edvardelricl1337: ebat spasibo
Вас заинтересует