• Предмет: Математика
  • Автор: D2GR4
  • Вопрос задан 3 года назад

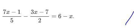
Решите уравнение........................

Приложения:

Ответы

Ответ дал: Evgenia4836
1

Ответ:

Пошаговое объяснение:

2(7x-1)-5(3x-7)= 10(6-x)

14x-2-15x+35=60-10x

9x= 27

x= 3

Вас заинтересует