• Предмет: Математика
  • Автор: ruslanb2002
  • Вопрос задан 3 года назад

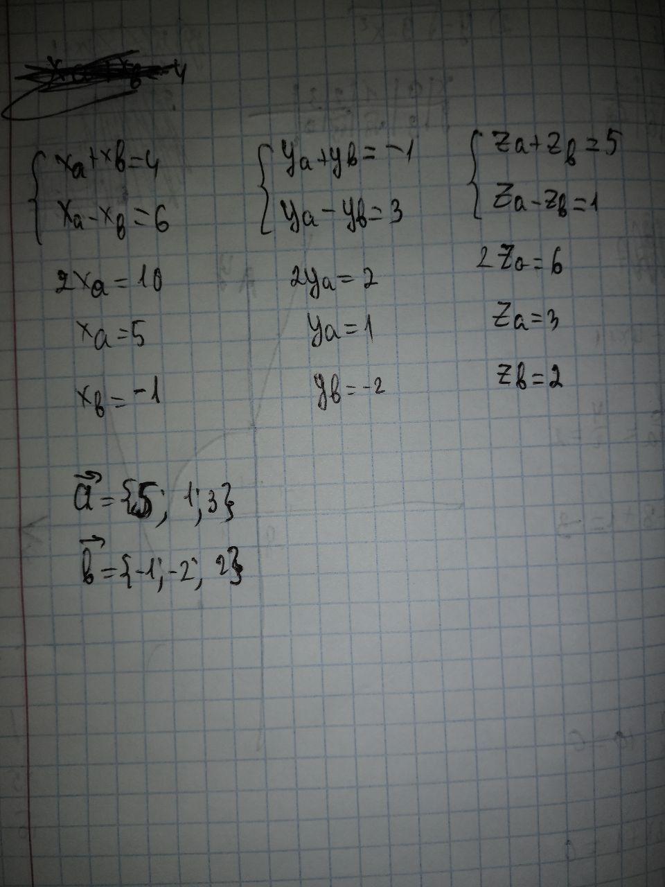
Срочно помощь Знайдіть координати векторів векторів а і а,якщо с=а+в,d=а-в С(4 ,-1,5) d(6,3,1) Там надо зробити рівнянням потрібно скласти і знайти невідому

Ответы

Ответ дал: igorminin1234
0

Ответ:

ответ

Пошаговое объяснение:

Приложения:
Вас заинтересует