• Предмет: Математика
  • Автор: Nlghtmare1337
  • Вопрос задан 3 года назад

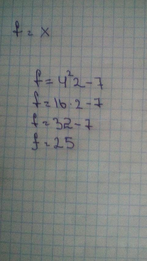
Найти значение производной в данной точке f(x)=x^2-7 , x0=4


Nlghtmare1337: извиняюсь, f(x)=корень x^2-7 , x0=4

Ответы

Ответ дал: dreybant
0

Ответ:

Пошаговое объяснение:

Приложения:
Ответ дал: Аноним
0

f'(x)=2x

f'(4)=2*4=8

Ответ 8

Вас заинтересует