Даю 30 баллов
Помогите пожалуйста срочно!!
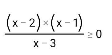
Решите неравенство:
Приложения:

Аноним:
[1;2]U(3; +беск)
Ответы
Ответ дал:
1
Ответ:
Пошаговое объяснение:
Решим методом интервалов.
На оси Х отметим точки 1, 2, 3. При этом х не может быть равно 3.
- + - +
______ ____ ____ ___
1 2 3
Неравенству удовлетворяют только положительные промежутки, т.е.
х⊂ [1; 2]∪(3; +∞)
Ответ дал:
1
Решение задания прилагаю
Приложения:

Вас заинтересует
2 года назад
2 года назад
2 года назад
2 года назад
7 лет назад
9 лет назад
9 лет назад