Прошу помогите нужно решить легкие уравнения 8 класс! СРОЧНО!
Приложения:
                    
                            
                    ВикаБач:
                    В самом деле лёгкие, квадратные. А в чём помочь? Формулу написать?
                
            
                    
                    какие именно?
                
            
                    
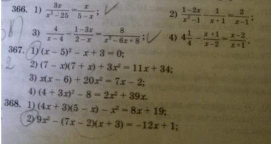
                    выделенные или где галочки отмечены?
                
            
                    
                    Раскрывай по формулам, открывай скобки. Суммируй, переноси. Потом придешь к той или иной теореме. Никакой сложности, если задуматься.
                
            
                    
                    Хотя бы решить 366 полностью надо
                
            Ответы
                                            Ответ дал: 
                                                                                    
                                        
                                            
                                                
                                                
                                                
                                                    1
                                                
                                            
                                        
                                    Ответ:
Объяснение:
Ответ на 366 1,3 и 367-1. 368-2
Приложения:
                    
                            
                            
                            
                    
                    Спасибо огромное!
                
            Вас заинтересует
                
                        2 года назад
                    
                
                        2 года назад
                    
                
                        2 года назад
                    
                
                        2 года назад
                    
                
                        7 лет назад
                    
                
                        7 лет назад
                    
                
                        9 лет назад
                    
                
                        9 лет назад