• Предмет: Математика
  • Автор: xixruxfucfcutct
  • Вопрос задан 3 года назад

ОЧЕНЬ СРОЧНООО!!!
Даю 50 баллов
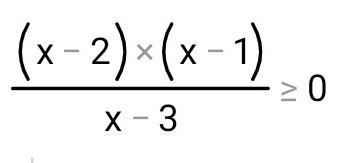
Решите неравенство методом интегралов:
(письменно с решением и прямой)​​

Приложения:

Аноним: https://znanija.com/task/37730294
xixruxfucfcutct: там решение оказывается не правильное
xixruxfucfcutct: была дробь, а стало произведение
xixruxfucfcutct: и решения нет
Аноним: А тогда не знаю, и извиниюсь
Аноним: Какое произведение? Вы знаете, что такое метод интервалов? Вы знаете, что такое равносильные неравенства?
xixruxfucfcutct: так преподаватель написала
Аноним: Мне ваш жаль, что у вас такой преподаватель.
Аноним: Не пишите произведение, да и всё.
xixruxfucfcutct: просто так не примет, надо решение,как получила точки

Ответы

Ответ дал: Аноним
1

Решение задания прилагаю

И образец.

Приложения:

Аноним: Если не пишите систему, то укажите, что х =/3, не равен
xixruxfucfcutct: спасибо большое, хорошо!!!!
Аноним: Ещё приложила решение.
Ответ дал: Аноним
0

Методом интерВАлов.

х=2; х=1; х=3

________1______2_____3____________

  -                    +             -                  +

х∈[1;2]∪(3;+∞)

Вас заинтересует