Ответы
Ответ дал:
1
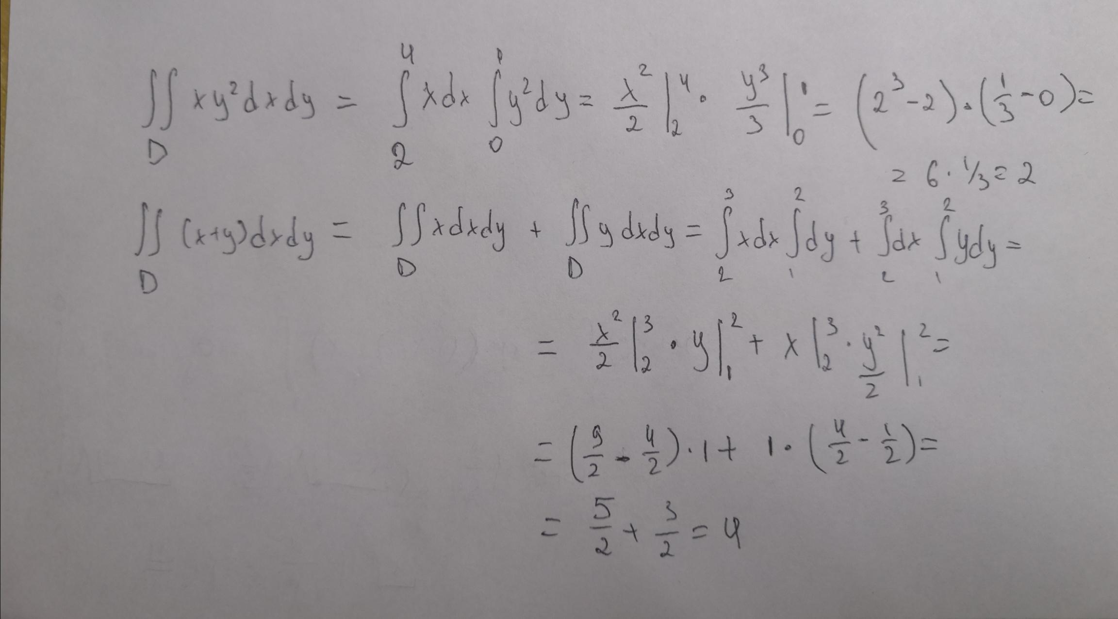
Ответ, как и решение, имеется на фото.
Если понадобятся пояснения, то можешь писать - отвечу.
Если решение понравится и окажется правильным (как скорее всего и будет), то не поленись поставить спасибо и оценку С:
Добра тебе!
Приложения:

Вас заинтересует
2 года назад
2 года назад
2 года назад
2 года назад
7 лет назад
7 лет назад
9 лет назад