• Предмет: Математика
  • Автор: edvardelricl1337
  • Вопрос задан 3 года назад

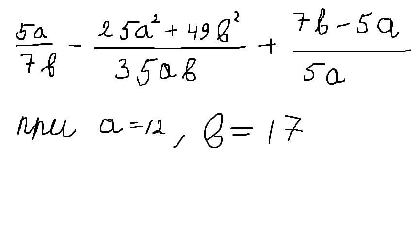
Найдите значения выражения

Приложения:

Ответы

Ответ дал: serovaksusa1
1

Ответ:

-1

5а/7b-25a^2 +49b^2/35ab+7b-5a/5a=

Приводим дробь к общему знаменателю.

Он=35ab и получаем

25а^2 - (25а^2 +49b^2) +7b(7b-5a)/35ab=

Раскроем скобки,

получим

25 а^2 - 25а^2 - 49b^2 +49b^2 - 35ab/35ab=

Сократим(25а^2 и - 25а^2, - 49b^2и 49b^2)

Получим:-35аb/35ab=-1


edvardelricl1337: правильно
edvardelricl1337: ответ -1
edvardelricl1337: я как понимаю вы лишнее действие сделали
edvardelricl1337: 12 домножили на -1
serovaksusa1: ответ будет - 1,но там указано при а=12,значит будет - 12
edvardelricl1337: нет
serovaksusa1: так там указано в условии при а =12,
edvardelricl1337: просто нужно было сократить пример и подставить а и б к сокращённому выражению
serovaksusa1: ну значит ответ будет - 1,там правда а нет
serovaksusa1: если мы в сокращённое выражение поставим aи b. то в ответе все равно будет - 1
Вас заинтересует